Gujarat PGECET 2018 INSTRUMENTATION & CONTROL ENGINEERING (IC) Question Paper with Answer Key PDFs (July 15)

Collegedunia Team's profile photo

Collegedunia Team

Content Curator | Updated 3+ months ago

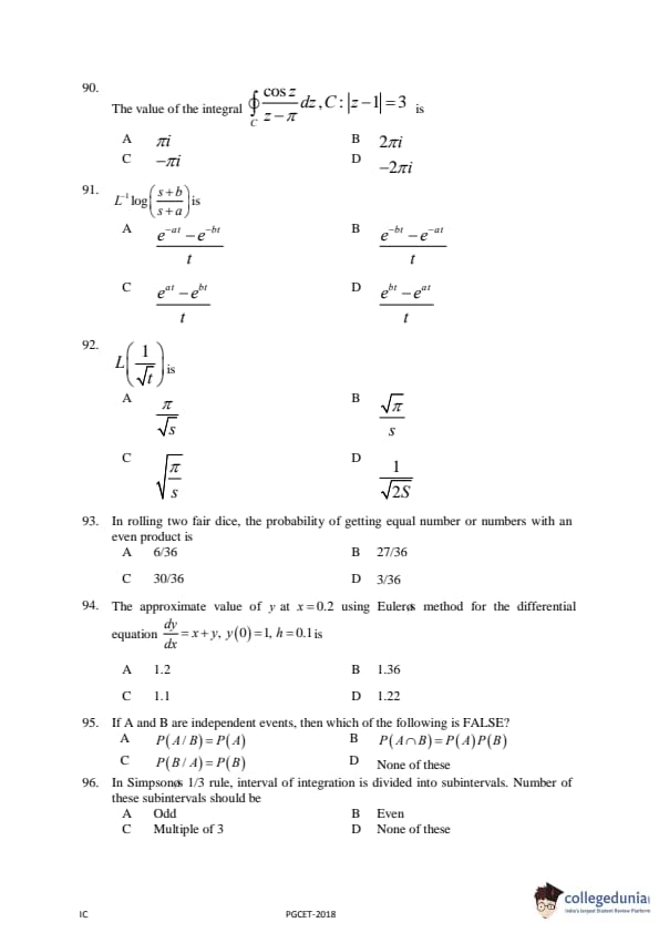
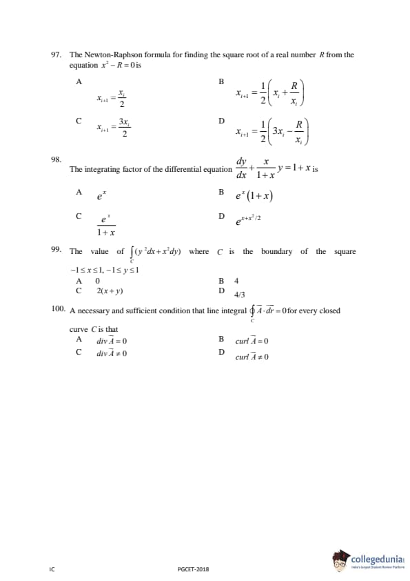
Gujarat PGECET 2018 INSTRUMENTATION & CONTROL ENGINEERING (IC) Question paper with answer key pdf conducted on July 15, 2018 is available for download. The exam was successfully organized by Admission Committee for Professional Courses (ACPC). The question paper comprised a total of 100 questions.

Gujarat PGECET 2018 INSTRUMENTATION & CONTROL ENGINEERING (IC) Question Paper with Answer Key PDFs

Gujarat PGECET 2018 IC Question Paper PDF Gujarat PGECET 2018 IC Answer Key PDF
Download PDF Available Soon


Other PG Exam Question Papers

0

Fees Structure

CategoryState
General500

In case of any inaccuracy, Notify Us! 

Comments


No Comments To Show