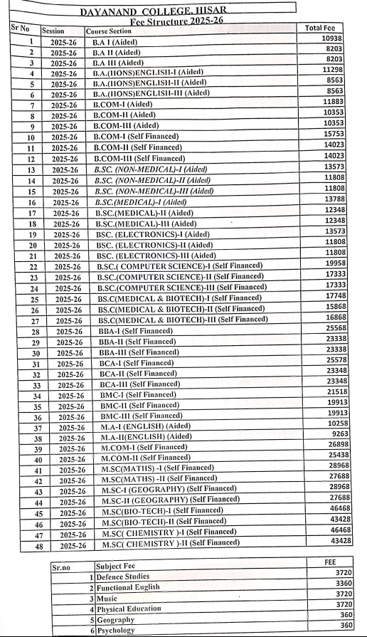
Admission to the college is based on 12th-grade marks, with three merit lists and a waiting list determining enrollment. The college faculty is well-qualified, particularly in the BCA program, while the non-teaching staff is supportive. The student population is about 2000 girls and 2400 boys. Computer labs are readily available, but bathroom conditions need improvement. The college fees are affordable, with the B.Sc course costing Rs 3000 per semester. The BCA course costs around Rs 21,000 annually, split into Rs 14,000 for the first semester and Rs 7,000 for the second.
Total fees for a BCA student are reported as 23,600 INR in the first year, 21,600 INR in the second, and 21,500 INR in the third year. The fee covers all expenses, with no extra charges. However, the college lacks a formal placement program, requiring students to apply to companies independently. No scholarships or loan facilities are currently available, although improvements are expected. A student applied for a scholarship in October 2022 but has not received funds by October 2024.




.jpeg?h=78&w=78&mode=stretch)




![Chaudhary Charan Singh Haryana Agricultural University - [CCSHAU]](https://image-static.collegedunia.com/public/college_data/images/appImage/15078979101443445475CCSHAUNEW.jpg?h=111.44&w=263&mode=stretch)

![Om Sterling Global University - [OSGU]](https://image-static.collegedunia.com/public/college_data/images/appImage/1619455614Cover.jpg?h=111.44&w=263&mode=stretch)





![Indira Gandhi University - [IGU]](https://image-static.collegedunia.com/public/college_data/images/appImage/1498649647cvr.png?h=111.44&w=263&mode=stretch)










.jpeg?h=72&w=72&mode=stretch)



![Prannath Parnami Institute of Management and Technology -[PPIMT]](https://image-static.collegedunia.com/public/college_data/images/logos/1394775910Prannath Parnami Institute of Management and Technology.png?h=72&w=72&mode=stretch)


![College of Traffic Management - Institute of Road Traffic Education - [CTM-IRTE]](https://image-static.collegedunia.com/public/college_data/images/logos/1662123120unnamed.png?h=72&w=72&mode=stretch)

![Gandhi Memorial National College - [GMN]](https://image-static.collegedunia.com/public/college_data/images/logos/1425539110l.png?h=72&w=72&mode=stretch)

![Fateh Chand College For Women - [FCC]](https://image-static.collegedunia.com/public/college_data/images/logos/1470291344Untitled.1 png.png?h=72&w=72&mode=stretch)
![Shanti Niketan College of Engineering - [SNCOE]](https://image-static.collegedunia.com/public/college_data/images/logos/1419338687Shanti_Niketan123.jpg?h=72&w=72&mode=stretch)
![Indian Institute of Public Health - [IIPH]](https://image-static.collegedunia.com/public/college_data/images/logos/col1968.jpg?h=72&w=72&mode=stretch)
![Om Sterling Global University - [OSGU]](https://image-static.collegedunia.com/public/college_data/images/logos/16197626471619455569Logo.jpg?h=72&w=72&mode=stretch)
![Guru Jambheshwar University of Science and Technology - [GJUS&T]](https://image-static.collegedunia.com/public/college_data/images/logos/1394876013Guru Jambheshwar University of Science and Technology.png?h=72&w=72&mode=stretch)
![Translational Health Science and Technology Institute - [THSTI]](https://image-static.collegedunia.com/public/college_data/images/logos/1414518219eBay.png?h=72&w=72&mode=stretch)


![Chaudhary Devi Lal University - [CDLU]](https://image-static.collegedunia.com/public/college_data/images/logos/15051293691463051913logo1.png?h=72&w=72&mode=stretch)

Comments